CBSE Affiliated (10+2): Humanities | Commerce | Science    |    +91 8178139951    |    www.angelpublicschool.com    |    Address: Sector 21A, Faridabad, Haryana - 121001

CBSE Affiliation

Official Recognition & Certification

Affiliation Letter

Angel Public School is affiliated with CBSE and follows all academic standards prescribed by the board.

Affiliation Letter (Page 1)
View Full Size
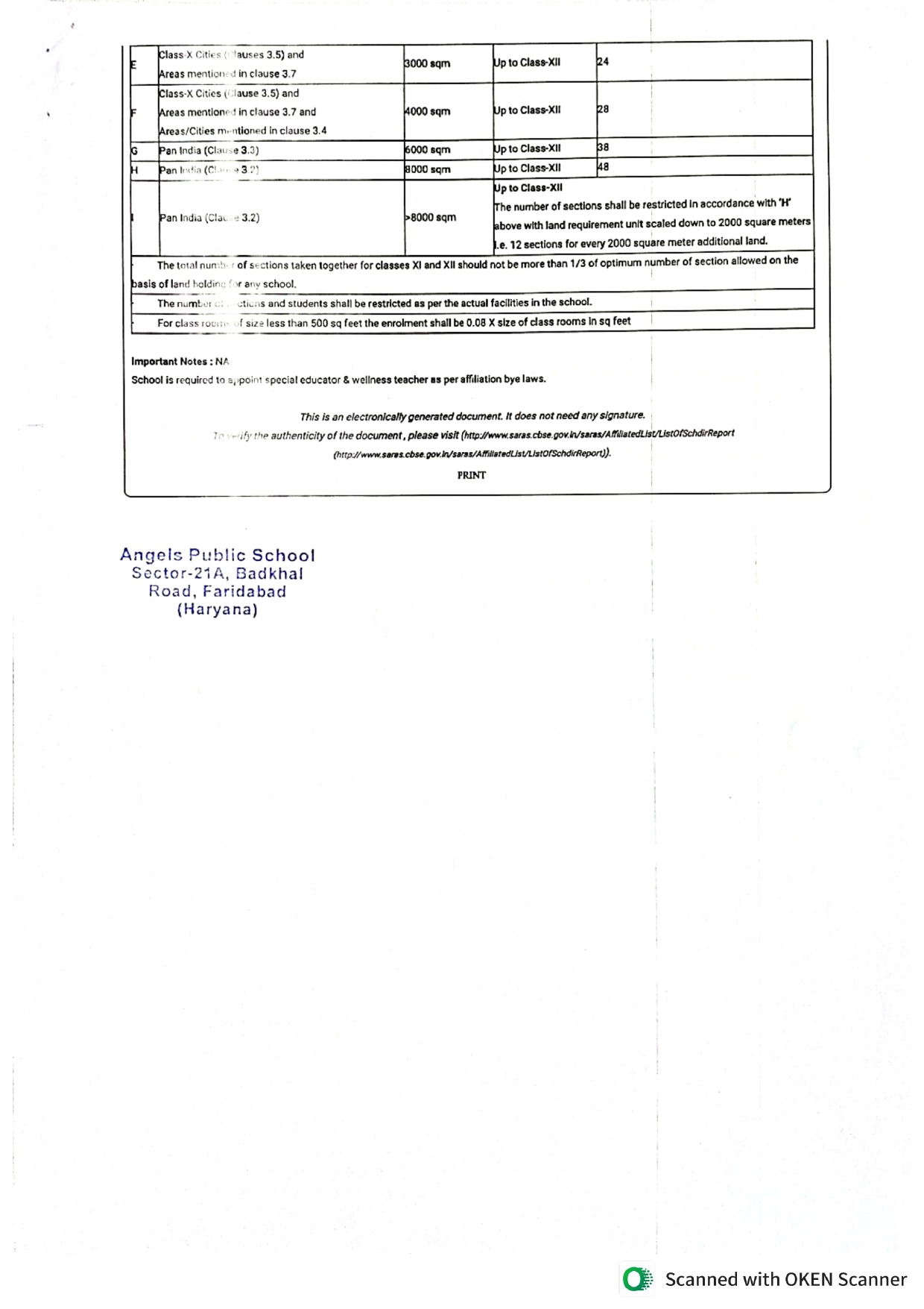
Affiliation Letter (Page 2)
View Full Size

Affiliation Details

Affiliation Board
CBSE (New Delhi)
School Name
Angel Public School
Location
Sector 21A, Faridabad
Level
Senior Secondary (10+2)
Streams
Humanities, Commerce, Science
Medium
English
Contact
+91 8178139951
Status
Valid as per CBSE Norms

ANGEL PUBLIC SCHOOL

Affiliated to CBSE, New Delhi (10+2) – Humanities, Commerce & Science. Committed to academic excellence, character building and holistic development of every child.

Stay Connected

Get In Touch

Sector 21A, Faridabad, Haryana - 121001

+91 8178139951

www.angelpublicschool.com

© 2026 Angel Public School, Faridabad. All Rights Reserved.

Affiliated to CBSE, New Delhi